- Более
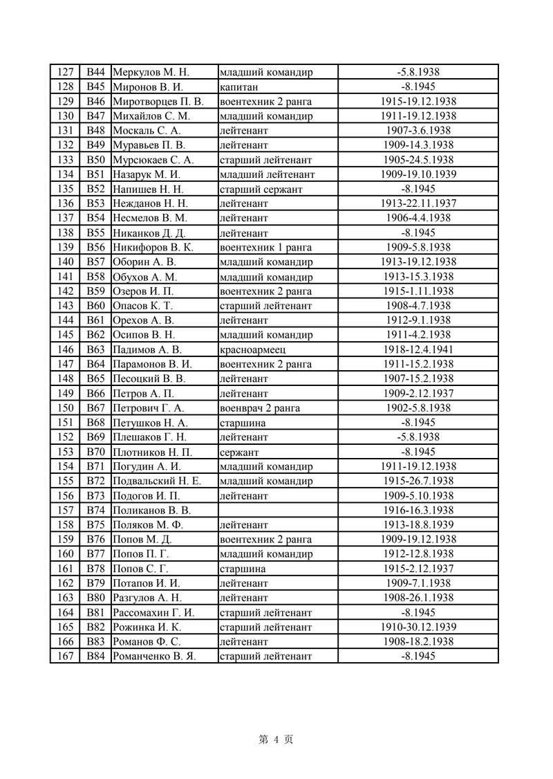
Китай опубликовал уточненный список из 236 советских летчиков, погибших в войне сопротивления китайского народа японским захватчикам (5)
Нанкин, 22 ноября /Синьхуа/ -- Мемориальный музей летчиков-мучеников антияпонской войны города Нанкин в пятницу опубликовал уточненный список из 236 советских летчиков, павших в войне сопротивления китайского народа японским захватчикам.
Список включает в себя ФИО летчиков-героев, даты их рождения и смерти и военные должности с корректировками и поправками, сделанными на основе исследований.
"Мы надеемся, что публикация этого списка позволит объединить усилия как в Китае, так и за его пределами, чтобы активизировать работу по сбору информации о советских летчиках-героях, погибших в Войне сопротивления китайского народа японским захватчикам", - сказала сотрудница музея Доу Жоци.
Список из 236 советских летчиков изначально был составлен в 1995 году. Но из-за отсутствия оригинальных архивов большая часть информации об этих павших героях была неполной и ее трудно было проверить. В сентябре 2024 года рабочая команда музея отправилась в Россию и Беларусь для сбора информации о советских летчиках, отдавших свою жизнь для оказания помощи китайскому народу в антияпонской войне, и связалась с родными павших героев.
Наша цель - выявить, исправить ошибки и дополнить список, установить контакт с большим числом родных героев и обнаружить сведения о них, которые могли быть утеряны", - сказала сотрудница музея Доу Жоци.
В тот же день в музее также открылась выставка на тему "Герои вместе ковали бессмертие", посвященная погибшим в Китае советским летчикам. На выставке впервые были представлены фотографии одного из советских летчиков - старшего лейтенанта Сергея Дмитриевича Смирнова, который погиб в воздушном бою над Наньчаном в 1938 году и был похоронен в этом же городе.
Мемориальный музей летчиков-мучеников антияпонской войны, который находится в городе Нанкин провинции Цзянсу /Восточный Китай/, является первым в Китае мемориальным музеем интернациональных летчиков, погибших в Войне сопротивления японским захватчикам.
В его коллекции собраны богатые исторические материалы о военно-воздушных силах Китая, Советского Союза, Соединенных Штатов и других стран, совместно сражавшихся против японских захватчиков в Китае во время Второй мировой войны.
К настоящему времени на памятнике погибшим в Войне сопротивления против Японии авиаторам в музее были выгравированы ФИО 4297 китайских и иностранных летчиков.
В апреле этого года администрация Мемориального музея летчиков-мучеников антияпонской войны города Нанкин опубликовала список из 1468 китайских летчиков, а в сентябре список из 2590 американских летчиков-героев, погибших в войне сопротивления японским захватчикам.
самых читаемых новостей
- 1Грузовой космический корабль "Тяньчжоу-7" повторно вошел в атмосферу Земли
- 2В Узбекистане семилетний ребенок погиб в результате ДТП
- 3Си Цзиньпин на саммите G20 призвал к построению справедливого мира общего развития
- 4Завершилось строительство Восточного маршрута газопровода Китай-Россия
- 5Китайский безэкипажный катер ?Косатка? на Airshow China в Чжухае
- 6"Ловушка Фукидида" не является исторической неизбежностью -- Си Цзиньпин
Фото
Латиноамериканские деликатесы завоевывают китайский рынок
Black Myth: Wukong признана лучшей игрой года




